AI的绿色革命:评估模型优劣,除了“智商”还得看“碳商”
AI的绿色革命:评估模型优劣,除了“智商”还得看“碳商”
导读
随着人工智能技术的飞速发展,AI模型的性能指标,如准确率、F1-Score,已成为衡量其优劣的核心标准。然而,在追求极致性能的同时,我们往往忽视了模型训练与推理过程中所产生的巨大能源消耗和碳排放,这构成了一个日益严峻的环境挑战。这种单维度的评估视角,正在使AI行业在可持续发展道路上陷入一个潜在的盲区。
南达科他大学(USD)AI研究团队在arXiv上正式发布了其最新研究成果——AI-CARE(Carbon-Aware Reporting Evaluation Metric for AI Models),提出了一种创新的碳感知评估框架,旨在将AI模型的性能表现与能源消耗及碳排放紧密结合,从而揭示那些传统SOTA指标下被掩盖的高能耗效应,为AI模型的可持续性评估提供全新视角。
超越SOTA:AI模型隐形碳足迹的量化与影响
长期以来,机器学习(ML)模型的评估主要围绕任务性能指标展开,如分类准确率、BLEU分数或mAP。尽管这些指标对模型的功能性评估至关重要,但它们未能纳入模型生命周期(训练与推理)中的能源消耗与碳排放考量。
这意味着,一个在预测性能上可能稍逊一筹,但能耗效率显著的轻量级模型,在实际资源受限或环境敏感的部署场景中可能更具优势,却因传统评估体系的局限而被低估。
特别是随着大型语言模型(LLMs)和Agentic AI系统等计算密集型AI范式的兴起,其训练和部署所需的庞大计算资源已对全球能源消耗和碳排放产生了不可忽视的影响。然而,当前市面上的工具多止步于提供原始能耗数据,缺乏统一的标准化报告和跨模型比较机制,使得研究人员和开发者难以全面理解并量化模型的环境影响。
AI-CARE:构建多维度评估体系,驱动绿色AI实践
为填补这一评估空白,USD研究团队推出了AI-CARE——一个通用型的评估工具,旨在标准化AI模型的能源消耗和碳排放报告,并将其与传统任务性能指标进行并行呈现。
AI-CARE的核心创新点包括:
1.首个通用碳感知评估框架:它能够精确测量并报告ML模型的能源消耗和碳排放。通过在受控实验条件下进行,确保了数据的透明性与可复现性,为环境影响评估奠定基础。
2.碳-性能权衡曲线(Carbon-Performance Tradeoff Curve):这是一种创新的可视化工具,能直观地展示预测性能与碳成本之间的帕累托前沿。该工具使用户能够识别在特定性能水平下具有最低碳足迹的模型,从而支持更具可持续性的部署决策。
3.标量碳感知分数(Scalar Carbon-Aware Score, SCAS):为满足模型单一排名的需求,SCAS将性能与碳影响整合为一个综合性分数,同时保留了多目标评估的内在复杂性。
4.开源发布:AI-CARE工具及其详细文档已全面开源,旨在鼓励AI社区采纳部署感知的基准测试方法,并促进其与现有模型评估流程的无缝集成。
AI-CARE:精确量化模型环境足迹的技术路径
AI-CARE的设计理念是报告导向,它不介入模型的架构设计、学习算法或训练过程,而是专注于以统一和可比较的形式报告性能、能源和碳指标。
其核心工作流程如下:
1.异步资源监控:AI-CARE在模型执行期间,周期性地测量能源消耗,并异步获取电网碳强度值。这种设计最大程度地减少了测量过程对模型执行时间、优化动态或系统行为的干扰。
2.数据标准化与整合:模型执行完成后,收集到的性能、能源和碳指标将经过标准化处理并聚合,最终生成综合性报告。
3.能量-碳转化机制:模型的总能耗(以千瓦时kWh计)将乘以一个预设的电网碳强度系数(例如,400 gCO2/kWh),从而计算出相应的碳排放量。

实验验证:碳足迹差异与多目标评估的必要性
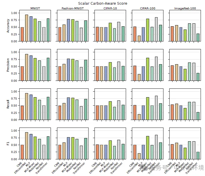
通过在MNIST、Fashion-MNIST、CIFAR-10、CIFAR-100和ImageNet-100等五大视觉基准数据集上,对MLP、CNN、Transformer、MLP-Mixer等多种模型家族进行广泛实验,AI-CARE揭示了模型效率权衡的深刻洞察:
性能边际效益与碳成本:实验结果表明,当数据集复杂度增加时,深度或计算密集型架构虽然可能带来边际的性能提升,但往往导致总碳排放量呈指数级增长,凸显了能耗效率与性能提升之间的非线性关系。
同等性能下的碳足迹差异:研究发现,即使是预测性能相似的模型,其总碳排放量也可能存在几个数量级的差异。这一关键发现揭示了传统单一性能指标评估的局限性。
碳感知评估下的模型排序重构:AI-CARE的碳-性能权衡图和标量碳感知分数,能够显著改变模型评估的固有排序。例如,在MNIST和Fashion-MNIST等相对简单的基准任务上,轻量级架构往往能获得更高的SCAS,这表明在最小化碳成本的前提下,亦可实现具有竞争力的性能。
多维度指标的敏感性:除了分类准确率,AI-CARE还同时考虑了精度、召回率和F1-Score。多指标分析进一步揭示,碳感知模型排名对所选评估标准敏感,强调了全面性报告在可持续AI发展中的关键作用。


结论与展望:AI-CARE对可持续AI的贡献
AI-CARE的发布,不仅提供了一个创新的评估工具,更重要的是,它呼吁整个AI社区重新审视当前以性能为单一导向的评估范式。这项工作强调了多目标评估的必要性,并将能源和碳指标提升到与预测性能同等重要的核心评估标准。
AI-CARE为在资源受限和环境敏感型场景中进行部署感知型模型选择提供了实用的量化工具。我们有理由相信,AI-CARE将推动AI研究和实践向着更透明、更可持续的方向发展,为构建一个真正意义上的绿色AI生态系统奠定基础。
论文链接:https://arxiv.org/pdf/2602.16042
会议:Accepted to the 2026 IEEE Conference on Artificial Intelligence (IEEE CAI)
关于我们
中升太环境作为国内领先的工业废水废气处理方案服务商,深耕环保领域三十余年,技术已成功应用于电子信息、高端装备制造、生物医药及耗材、化工新材料和轻工纺织化纤等数十个行业,帮助客户实现:
投资成本降低:快速调试,缩短工期,最快30天完成系统搭建;
长期稳定达标:出水水质稳定达到行业标准;
资源化利用:能源回收,变废为宝,创造额外收益。
如果您正为工业废水废气处理成本高、运维难、达标不稳定而困扰,欢迎您进入公众号点击“关于我们”→“联系我们”。环保之路,我们与您同行!

